转载自: 美团又是校招大户,给力!

图解学习网站:https://xiaolincoding.com 大家好,我是小林。

去年秋招的时候,美团是秋招大户,很多进了大厂的同学,都是拿了美团的 offer。

而且发 offer 发的快,也发的很早,10-11 月份就基本发了 很多 offer,很多同学拿到的第一个大厂 offer,就是美团给的。

今年春招已经开始啦,美团官方宣称还会发放 4000 个offer,妥妥的校招大户!

在备战春招的同学,可以抓紧写好简历,开始投起来了,越早投,机会越多,拖太久,hc 可能就慢慢没了。

今天,给大家分享一位秋招拿到美团offer 同学的 Java后端面经,给在准备春招的同学参考和复习。

面经比较有代表性,也对问题做了总结,希望能帮助最近在准备面试的同学。根据面试热点题目去准备知识的,目的性会比较强,方向也比较清晰一点。

考察的范围还挺多的,计算机基础+mysql+redis+mq+java并发+java 集合+jvm这些方面都进行盘问了。

  • 操作系统:死锁、乐观锁、悲观锁
  • 网络:鉴权、tcp、udp
  • redis:应用场景、数据结构、zset 底层实现、跳表
  • mysql:左右连接的区别、存储引擎、sql 优化、explain
  • 消息队列:mq 重复消费问题
  • Java:synchronized、ReentrantLock、spring 生命周期、类加载过程、垃圾回收、hahsmap

操作系统

死锁的条件有哪些?

死锁只有同时满足以下四个条件才会发生:

  • 互斥条件:互斥条件是指多个线程不能同时使用同一个资源
  • 持有并等待条件:持有并等待条件是指,当线程 A 已经持有了资源 1,又想申请资源 2,而资源 2 已经被线程 C 持有了,所以线程 A 就会处于等待状态,但是线程 A 在等待资源 2 的同时并不会释放自己已经持有的资源 1
  • 不可剥夺条件:不可剥夺条件是指,当线程已经持有了资源 ,在自己使用完之前不能被其他线程获取,线程 B 如果也想使用此资源,则只能在线程 A 使用完并释放后才能获取。
  • 环路等待条件:环路等待条件指的是,在死锁发生的时候,两个线程获取资源的顺序构成了环形链

避免死锁问题就只需要破环其中一个条件就可以,最常见的并且可行的就是使用资源有序分配法,来破环环路等待条件

那什么是资源有序分配法呢?线程 A 和 线程 B 获取资源的顺序要一样,当线程 A 是先尝试获取资源 A,然后尝试获取资源 B 的时候,线程 B 同样也是先尝试获取资源 A,然后尝试获取资源 B。也就是说,线程 A 和 线程 B 总是以相同的顺序申请自己想要的资源。

乐观锁和悲观锁及使用场景?

乐观锁:

  • 基本思想:乐观锁假设多个事务之间很少发生冲突,因此在读取数据时不会加锁,而是在更新数据时检查数据的版本(如使用版本号或时间戳),如果版本匹配则执行更新操作,否则认为发生了冲突。
  • 使用场景:乐观锁适用于读多写少的场景,可以减少锁的竞争,提高并发性能。例如,数据库中的乐观锁机制可以用于处理并发更新同一行数据的情况。

悲观锁:

  • 基本思想:悲观锁假设多个事务之间会频繁发生冲突,因此在读取数据时会加锁,防止其他事务对数据进行修改,直到当前事务完成操作后才释放锁。
  • 使用场景:悲观锁适用于写多的场景,通过加锁保证数据的一致性。例如,数据库中的行级锁机制可以用于处理并发更新同一行数据的情况。

乐观锁适用于读多写少的场景,通过版本控制来处理冲突;而悲观锁适用于写多的场景,通过加锁来避免冲突。

网络

token,session,cookie的区别?

  • session存储于服务器,可以理解为一个状态列表,拥有一个唯一识别符号sessionId,通常存放于cookie中。服务器收到cookie后解析出sessionId,再去session列表中查找,才能找到相应session,依赖cookie。
  • cookie类似一个令牌,装有sessionId,存储在客户端,浏览器通常会自动添加。
  • token也类似一个令牌,无状态,用户信息都被加密到token中,服务器收到token后解密就可知道是哪个用户,需要开发者手动添加。

tcp与udp的区别

  • 连接:TCP 是面向连接的传输层协议,传输数据前先要建立连接;UDP 是不需要连接,即刻传输数据。
  • 服务对象:TCP 是一对一的两点服务,即一条连接只有两个端点。UDP 支持一对一、一对多、多对多的交互通信
  • 可靠性:TCP 是可靠交付数据的,数据可以无差错、不丢失、不重复、按序到达。UDP 是尽最大努力交付,不保证可靠交付数据。但是我们可以基于 UDP 传输协议实现一个可靠的传输协议,比如 QUIC 协议
  • 拥塞控制、流量控制:TCP 有拥塞控制和流量控制机制,保证数据传输的安全性。UDP 则没有,即使网络非常拥堵了,也不会影响 UDP 的发送速率。
  • 首部开销:TCP 首部长度较长,会有一定的开销,首部在没有使用「选项」字段时是 20 个字节,如果使用了「选项」字段则会变长的。UDP 首部只有 8 个字节,并且是固定不变的,开销较小。
  • 传输方式:TCP 是流式传输,没有边界,但保证顺序和可靠。UDP 是一个包一个包的发送,是有边界的,但可能会丢包和乱序。
  • 应用场景:TCP 是面向连接,能保证数据的可靠性交付,因此经常用于:FTP、HTTP/HTTPS协议。UDP 面向无连接,它可以随时发送数据,再加上 UDP 本身的处理既简单又高效,经常用于视频、音频等多媒体通信等。

Redis

redis应用场景有哪些?

Redis 是一种基于内存的数据库,对数据的读写操作都是在内存中完成,因此读写速度非常快,常用于缓存,消息队列、分布式锁等场景

Redis用途 Redis 提供了多种数据类型来支持不同的业务场景,比如 String(字符串)、Hash(哈希)、 List (列表)、Set(集合)、Zset(有序集合)、Bitmaps(位图)、HyperLogLog(基数统计)、GEO(地理信息)、Stream(流),并且对数据类型的操作都是原子性的,因为执行命令由单线程负责的,不存在并发竞争的问题。

除此之外,Redis 还支持事务 、持久化、Lua 脚本、多种集群方案(主从复制模式、哨兵模式、切片机群模式)、发布/订阅模式,内存淘汰机制、过期删除机制等等。

redis数据结构有那些?

Redis 五种数据类型的应用场景:

  • String 类型的应用场景:缓存对象、常规计数、分布式锁、共享 session 信息等。
  • List 类型的应用场景:消息队列(但是有两个问题:1. 生产者需要自行实现全局唯一 ID;2. 不能以消费组形式消费数据)等。
  • Hash 类型:缓存对象、购物车等。
  • Set 类型:聚合计算(并集、交集、差集)场景,比如点赞、共同关注、抽奖活动等。
  • Zset 类型:排序场景,比如排行榜、电话和姓名排序等。

zset使用场景?

Zset 类型(Sorted Set,有序集合) 可以根据元素的权重来排序,我们可以自己来决定每个元素的权重值。比如说,我们可以根据元素插入 Sorted Set 的时间确定权重值,先插入的元素权重小,后插入的元素权重大。

在面对需要展示最新列表、排行榜等场景时,如果数据更新频繁或者需要分页显示,可以优先考虑使用 Sorted Set。

排行榜

有序集合比较典型的使用场景就是排行榜。例如学生成绩的排名榜、游戏积分排行榜、视频播放排名、电商系统中商品的销量排名等。

我们以博文点赞排名为例,小林发表了五篇博文,分别获得赞为 200、40、100、50、150。

# arcticle:1 文章获得了200个赞  
> ZADD user:xiaolin:ranking 200 arcticle:1  
(integer) 1  
# arcticle:2 文章获得了40个赞  
> ZADD user:xiaolin:ranking 40 arcticle:2  
(integer) 1  
# arcticle:3 文章获得了100个赞  
> ZADD user:xiaolin:ranking 100 arcticle:3  
(integer) 1  
# arcticle:4 文章获得了50个赞  
> ZADD user:xiaolin:ranking 50 arcticle:4  
(integer) 1  
# arcticle:5 文章获得了150个赞  
> ZADD user:xiaolin:ranking 150 arcticle:5  
(integer) 1  

文章 arcticle:4 新增一个赞,可以使用 ZINCRBY 命令(为有序集合key中元素member的分值加上increment):

> ZINCRBY user:xiaolin:ranking 1 arcticle:4  
"51"  

查看某篇文章的赞数,可以使用 ZSCORE 命令(返回有序集合key中元素个数):

> ZSCORE user:xiaolin:ranking arcticle:4  
"50"  

获取小林文章赞数最多的 3 篇文章,可以使用 ZREVRANGE 命令(倒序获取有序集合 key 从start下标到stop下标的元素):

# WITHSCORES 表示把 score 也显示出来  
> ZREVRANGE user:xiaolin:ranking 0 2 WITHSCORES  
1) "arcticle:1"  
2) "200"  
3) "arcticle:5"  
4) "150"  
5) "arcticle:3"  
6) "100"  

获取小林 100 赞到 200 赞的文章,可以使用 ZRANGEBYSCORE 命令(返回有序集合中指定分数区间内的成员,分数由低到高排序):

> ZRANGEBYSCORE user:xiaolin:ranking 100 200 WITHSCORES  
1) "arcticle:3"  
2) "100"  
3) "arcticle:5"  
4) "150"  
5) "arcticle:1"  
6) "200"  

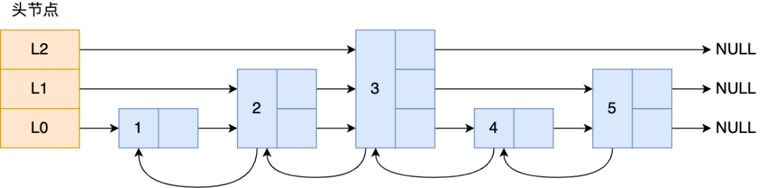
zset底层是怎么实现的?

Zset 类型的底层数据结构是由压缩列表或跳表实现的:

  • 如果有序集合的元素个数小于 128 个,并且每个元素的值小于 64 字节时,Redis 会使用压缩列表作为 Zset 类型的底层数据结构;
  • 如果有序集合的元素不满足上面的条件,Redis 会使用跳表作为 Zset 类型的底层数据结构;

在 Redis 7.0 中,压缩列表数据结构已经废弃了,交由 listpack 数据结构来实现了。

跳表时间复杂度?

* 搜索操作的时间复杂度:O(log n),其中n是跳表中元素的数量。这是因为跳表中使用多级索引,可以通过跳跃的方式快速定位到目标元素所在的位置,从而将搜索的时间复杂度降低到对数级别。

  • 插入和删除操作的时间复杂度:O(log n),其中n是跳表中元素的数量。与搜索操作类似,插入和删除操作也可以通过跳跃的方式快速定位到需要插入或删除的位置,并进行相应的操作。因此,插入和删除的时间复杂度也是对数级别的。

MySQL

左连接和右链接的区别?

上图的 left Jon 是左连接,right join 是右连接:

  • 左连接:左连接以左表(左侧)为基础,将左表中的所有记录与右表进行连接。即使右表中没有与左表匹配的记录,左连接仍然会返回左表中的所有记录,而右表中的对应列值则为NULL.
  • 右连接:右连接以右表(右侧)为基础,将右表中的所有记录与左表进行连接。即使左表中没有与右表匹配的记录,右连接仍然会返回右表中的所有记录,而左表中的对应列值则为NULL。

mysql有哪些引擎,区别?

MySQL中常用的四种存储引擎分别是:MyISAM存储引擎、innoDB存储引擎、MEMORY存储引擎,区别如下:

  • InnoDB:支持事务处理,支持外键,支持崩溃修复能力和并发控制。如果需要对事务的完整性要求比较高(比如银行),要求实现并发控制(比如售票),那选择InnoDB有很大的优势。如果需要频繁的更新、删除操作的数据库,也可以选择InnoDB,因为支持事务的提交(commit)和回滚(rollback)。
  • MyISAM:插入数据快,空间和内存使用比较低。如果表主要是用于插入新记录和读出记录,那么选择MyISAM能实现处理高效率。如果应用的完整性、并发性要求比 较低,也可以使用。如果数据表主要用来插入和查询记录,则MyISAM引擎能提供较高的处理效率
  • MEMORY:所有的数据都在内存中,数据的处理速度快,但是安全性不高。如果需要很快的读写速度,对数据的安全性要求较低,可以选择MEMOEY。它对表的大小有要求,不能建立太大的表。所以,这类数据库只使用在相对较小的数据库表。如果只是临时存放数据,数据量不大,并且不需要较高的数据安全性,可以选择将数据保存在内存中的Memory引擎,MySQL中使用该引擎作为临时表,存放查询的中间结果

怎么优化一个慢SQL?

  • 通过 explain 执行结果,查看 sql 是否走索引,如果不走索引,考虑增加索引。
  • 可以通过建立联合索引,实现覆盖索引优化,减少回表
  • 联合索引符合最左匹配原则,不然会索引失效
  • 避免索引失效,比如不要用左模糊匹配、函数计算、表达式计算等等。
  • 联表查询最好要以小表驱动大表,并且被驱动表的字段要有索引,当然最好通过冗余字段的设计,避免联表查询。
  • 针对 limit n,y 深分页的查询优化,可以把Limit查询转换成某个位置的查询:select * from tb_sku where id>20000 limit 10;,该方案适用于主键自增的表,
  • 将字段多的表分解成多个表,有些字段使用频率高,有些低,数据量大时,会由于使用频率低的存在而变慢,可以考虑分开

explain的结果有哪些?有哪些信息去告诉你怎么优化?

对于执行计划,参数有:

  • possible_keys 字段表示可能用到的索引;
  • key 字段表示实际用的索引,如果这一项为 NULL,说明没有使用索引;
  • key_len 表示索引的长度;
  • rows 表示扫描的数据行数。
  • type 表示数据扫描类型,我们需要重点看这个。

type

type 字段就是描述了找到所需数据时使用的扫描方式是什么,常见扫描类型的执行效率从低到高的顺序为

  • All(全表扫描);all 是最坏的情况,因为采用了全表扫描的方式。
  • index(全索引扫描);index 和 all 差不多,只不过 index 对索引表进行全扫描,这样做的好处是不再需要对数据进行排序,但是开销依然很大。所以,要尽量避免全表扫描和全索引扫描。
  • range(索引范围扫描):range 表示采用了索引范围扫描,一般在 where 子句中使用 < 、>、in、between 等关键词,只检索给定范围的行,属于范围查找。从这一级别开始,索引的作用会越来越明显,因此我们需要尽量让 SQL 查询可以使用到 range 这一级别及以上的 type 访问方式
  • ref(非唯一索引扫描):ref 类型表示采用了非唯一索引,或者是唯一索引的非唯一性前缀,返回数据返回可能是多条。因为虽然使用了索引,但该索引列的值并不唯一,有重复。这样即使使用索引快速查找到了第一条数据,仍然不能停止,要进行目标值附近的小范围扫描。但它的好处是它并不需要扫全表,因为索引是有序的,即便有重复值,也是在一个非常小的范围内扫描。
  • eq_ref(唯一索引扫描):eq_ref 类型是使用主键或唯一索引时产生的访问方式,通常使用在多表联查中。比如,对两张表进行联查,关联条件是两张表的 user_id 相等,且 user_id 是唯一索引,那么使用 EXPLAIN 进行执行计划查看的时候,type 就会显示 eq_ref。
  • const(结果只有一条的主键或唯一索引扫描):const 类型表示使用了主键或者唯一索引与常量值进行比较,比如 select name from product where id=1。

除了关注 type,我们也要关注 extra 显示的结果。

这里说几个重要的参考指标:

  • Using filesort :当查询语句中包含 group by 操作,而且无法利用索引完成排序操作的时候, 这时不得不选择相应的排序算法进行,甚至可能会通过文件排序,效率是很低的,所以要避免这种问题的出现。
  • Using temporary:使了用临时表保存中间结果,MySQL 在对查询结果排序时使用临时表,常见于排序 order by 和分组查询 group by。效率低,要避免这种问题的出现。
  • Using index:所需数据只需在索引即可全部获得,不须要再到表中取数据,也就是使用了覆盖索引,避免了回表操作,效率不错。

消息队列

如何避免mq重复消费?

导致重复消费的原因可能出现在生产者,也可能出现在 MQ 或 消费者。

这里说的重复消费问题是指同一个数据被执行了两次,不单单指 MQ 中一条消息被消费了两次,也可能是 MQ 中存在两条一模一样的消费。

  • 生产者:生产者可能会重复推送一条数据到 MQ 中,为什么会出现这种情况呢?也许是一个 Controller 接口被重复调用了 2 次,没有做接口幂等性导致的;也可能是推送消息到 MQ 时响应比较慢,生产者的重试机制导致再次推送了一次消息。
  • MQ:在消费者消费完一条数据响应 ack 信号消费成功时,MQ 突然挂了,导致 MQ 以为消费者还未消费该条数据,MQ 恢复后再次推送了该条消息,导致了重复消费。
  • 消费者:消费者已经消费完了一条消息,正准备但是还未给 MQ 发送 ack 信号时,此时消费者挂了,服务重启后 MQ 以为消费者还没有消费该消息,再次推送了该条消息。

消费者怎么解决重复消费问题呢?这里提供两种方法:

  • 状态判断法:消费者消费数据后把消费数据记录在 redis 中,下次消费时先到 redis 中查看是否存在该消息,存在则表示消息已经消费过,直接丢弃消息。
  • 业务判断法:通常数据消费后都需要插入到数据库中,使用数据库的唯一性约束防止重复消费。每次消费直接尝试插入数据,如果提示唯一性字段重复,则直接丢失消息。一般都是通过这个业务判断的方法就可以简单高效地避免消息的重复处理了。

Java

synchronized 和 ReentrantLock 区别?

synchronized 和 ReentrantLock 都是 Java 中提供的可重入锁:

  • 用法不同:synchronized 可用来修饰普通方法、静态方法和代码块,而 ReentrantLock 只能用在代码块上。
  • 获取锁和释放锁方式不同:synchronized 会自动加锁和释放锁,当进入 synchronized 修饰的代码块之后会自动加锁,当离开 synchronized 的代码段之后会自动释放锁。而 ReentrantLock 需要手动加锁和释放锁
  • 锁类型不同:synchronized 属于非公平锁,而 ReentrantLock 既可以是公平锁也可以是非公平锁。
  • 响应中断不同:ReentrantLock 可以响应中断,解决死锁的问题,而 synchronized 不能响应中断。
  • 底层实现不同:synchronized 是 JVM 层面通过监视器实现的,而 ReentrantLock 是基于 AQS 实现的。

Spring的生命周期说一下?

Spring的生命周期大致分为:创建 -> 属性填充 -> 初始化bean -> 使用 -> 销毁 几个核心阶段:

  • 创建阶段主要是创建对象,这里我们看到,对象的创建权交由Spring管理了,不再是我们手动new了,这也是IOC的概念。
  • 属性填充阶段主要是进行依赖的注入,将当前对象依赖的bean对象,从Spring容器中找出来,然后填充到对应的属性中去。
  • 初始化bean阶段做的事情相对比较复杂,包括回调各种Aware接口、回调各种初始化方法、生成AOP代理对象也在该阶段进行,该阶段主要是完成初始化回调,后面我们慢慢分析。
  • 使用bean阶段,主要是bean创建完成,在程序运行期间,提供服务的阶段。
  • 销毁bean阶段,主要是容器关闭或停止服务,对bean进行销毁处理。

说一下JVM加载一个类的过程

类从被加载到虚拟机内存开始,到卸载出内存为止,它的整个生命周期包括以下 7 个阶段:

  • 加载
  • 验证
  • 准备
  • 解析
  • 初始化
  • 使用
  • 卸载

验证、准备、解析 3 个阶段统称为连接。

Load Class JVM 中类的装载是由类加载器,也就是ClassLoader,和它的子类来实现的,Java 中的类加载器是一个重要的 Java 运行时系统组件,它负责在运行时查找和装入类文件中的类。

由于 Java 的跨平台性, 经过编译的 Java 源程序并不是一个可执行程序, 而是一个或多个类文件。当 Java 程序需要使用某个类时,JVM 会确保这个类已经被加载、连接( 验证、 准备和解析)和初始化。

类的加载是指把类的.class 文件中的数据读入到内存中,通常是创建一个字节数组读入.class 文件,然后产生与所加载类对应的 Class 对象。加载完成后, Class 对象还不完整, 所以此时的类还不可用。当类被加载后就进入连接阶段, 这一阶段包括验证、准备( 为静态变量分配内存并设置默认的初始值) 和解析( 将符号引用替换为直接引用) 三个步骤。

最后 JVM 对类进行初始化,包括:1)如果类存在直接的父类并且这个类还没有被初始化,那么就先初始化父类;2)如果类中存在初始化语句, 就依次执行这些初始化语句。

垃圾收集有哪些算法?

  • Serial 收集器,串行收集器是最古老,最稳定以及效率高的收集器,可能会产生较长的停顿,只使用一个线程去回收。
  • ParNew 收集器,ParNew 收集器其实就是 Serial 收集器的多线程版本。
  • Parallel 收集器,Parallel Scavenge 收集器类似 ParNew 收集器,Parallel 收集器更关注系统的吞吐量。
  • Parallel Old 收集器,Parallel Old 是 Parallel Scavenge 收集器的老年代版本,使用多线程和“标记-整理”算法
  • CMS 收集器,CMS(Concurrent Mark Sweep)收集器是一种以获取最短回收停顿时间为目标的收集器。
  • G1 收集器,G1 (Garbage-First)是一款面向服务器的垃圾收集器,主要针对配备多颗处理器及大容量内存的机器. 以极高概率满足 GC 停顿时间要求的同时,还具备高吞吐量性能特征

String s = new String(“abc”)执行过程中分别对应哪些内存区域?

首先,我们看到这个代码中有一个new关键字,我们知道new指令是创建一个类的实例对象并完成加载初始化的,因此这个字符串对象是在运行期才能确定的,创建的字符串对象是在堆内存上

其次,在String的构造方法中传递了一个字符串abc,由于这里的abc是被final修饰的属性,所以它是一个字符串常量。在首次构建这个对象时,JVM拿字面量"abc"去字符串常量池试图获取其对应String对象的引用。于是在堆中创建了一个"abc"的String对象,并将其引用保存到字符串常量池中,然后返回;

所以,如果abc这个字符串常量不存在,则创建两个对象,分别是abc这个字符串常量,以及new String这个实例对象。如果abc这字符串常量存在,则只会创建一个对象

Hashmap原理?1.7 和 1.8 有什么区别?

  • 数据结构:在 JDK 1.7 版本之前, HashMap 数据结构是数组和链表,HashMap通过哈希算法将元素的键(Key)映射到数组中的槽位(Bucket)。如果多个键映射到同一个槽位,它们会以链表的形式存储在同一个槽位上,因为链表的查询时间是O(n),所以冲突很严重,一个索引上的链表非常长,效率就很低了,所以在 JDK 1.8版本的时候做了优化,当一个链表的长度超过8的时候就转换数据结构,不再使用链表存储,而是使用红黑树,查找时使用红黑树,时间复杂度O(log n),可以提高查询性能,但是在数量较少时,即数量小于6时,会将红黑树转换回链表。

* 插入键值对的put方法的区别:JDK 1.8中会将节点插入到链表尾部,而1.7中是采用头插;

  • 哈希算法:JDK 1.7中的 hash() 扰动函数需要进行4次异或运算;而 JDK 1.8中则是将 (h = key.hashCode()) ^ (h >>> 16) 的结果作为计算下标的hash值,只需要一次异或运算就可以让hashCode的高位和低位同时参与下标值的计算,更具有随机性,可以使元素分布更均匀;
// JDK 1.7 hash 方法源码.  
final int hash(Object k) {  
    int h = hashSeed;  
    if (0 != h && k instanceof String) {  
        return sun.misc.Hashing.stringHash32((String) k);  
    }  
  
    h ^= k.hashCode();  
  
    // This function ensures that hashCodes that differ only by  
    // constant multiples at each bit position have a bounded  
    // number of collisions (approximately 8 at default load factor).  
    h ^= (h >>> 20) ^ (h >>> 12);  
    return h ^ (h >>> 7) ^ (h >>> 4);  
}  
  
  
// JDK 1.8 hash 方法源码.  
static final int hash(Object key) {  
      int h;  
      // key.hashCode():返回散列值也就是hashcode  
      // ^:按位异或  
      // >>>:无符号右移,忽略符号位,空位都以0补齐  
      return (key == null) ? 0 : (h = key.hashCode()) ^ (h >>> 16);  
  }  

了解的哈希冲突解决方法有哪些?

  • 链接法:使用链表或其他数据结构来存储冲突的键值对,将它们链接在同一个哈希桶中。
  • 开放寻址法:在哈希表中找到另一个可用的位置来存储冲突的键值对,而不是存储在链表中。常见的开放寻址方法包括线性探测、二次探测和双重散列。
  • 再哈希法:当发生冲突时,使用另一个哈希函数再次计算键的哈希值,直到找到一个空槽来存储键值对。
  • 哈希桶扩容:当哈希冲突过多时,可以动态地扩大哈希桶的数量,重新分配键值对,以减少冲突的概率。

算法

  • 手撕:最大子数组和

历史好文:

春招,启动!

每次面完腾讯,都是一把汗。。。

等不及了,冲字节去了!